安山质-英安质大陆地壳约占地球表面积的40%,其增长和演化过程不仅是重建地球演化历史的关键环节,更与金、铜等矿床的形成和保存密切相关。现代板块体制下,大洋俯冲相关的岛弧/陆缘弧岩浆作用通常被认为是大陆地壳增长的主要机制,但大陆碰撞造山过程中是否存在地壳净增长存在较大争议。鉴于此,beat365中文官方网站(武汉)beat365中文官方网站付乐兵副教授、魏俊浩教授及博士研究生赵旭、陈加杰等以青藏高原北缘的东昆仑造山带为研究对象(图1),对造山带内早古生代火成岩的时空分布和地球化学特征开展了系统研究,并取得主要认识如下:

图1青藏高原(A)和东昆仑造山带(B)地质简图
1、东昆仑造山带在早古生代经历了原特提斯洋俯冲(520–450 Ma),大陆碰撞(450–426 Ma)与岩石圈折返(426–410 Ma)、后碰撞垮塌(410–390 Ma)等多个构造演化阶段。
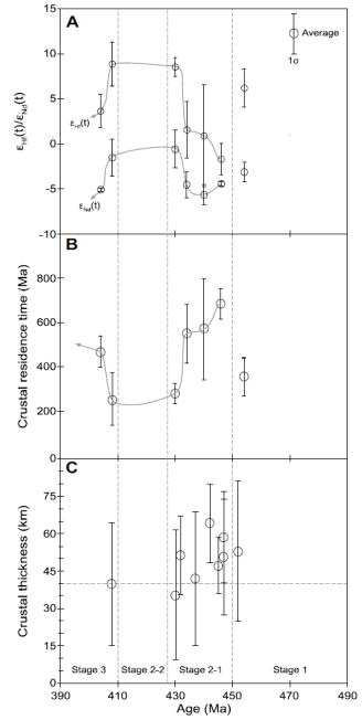
2、大陆碰撞阶段形成的火成岩εNd(t)、εHf(t)逐渐升高,地壳居留时间逐渐降低,与该阶段地壳厚度增加在时间上完全一致,表明壳下岩浆添加对于地壳增长起着关键作用(图2)。

图2东昆仑造山带早古生代火成岩εNd(t)(A)、εHf(t)(B)、地壳居留时间(C)、地壳厚度(D)变化规律
3、原特提斯洋俯冲和大陆碰撞背景下(520–426 Ma)形成的岩石以赞岐质高镁闪长岩、埃达克岩和经典I型花岗岩为主,岩浆源区中岩石圈地幔和俯冲板片来源的新生组分占比>65%,进一步证明大洋俯冲和大陆碰撞环境下壳下岩浆添加对于地壳增长的重要贡献(图3)。

图3东昆仑造山带早古生代火成岩岩浆源区模拟结果
4、俯冲大陆岩石圈折返和后碰撞垮塌背景下(426–390 Ma)产出的S型-I型-A型侵入岩多源于新生/古老地壳的重熔,这使得造山带内火成岩中不相容元素代表的地壳成熟度显著升高(图4)。

图4东昆仑造山带早古生代火成岩不相容元素含量变化规律
以上研究成果受国家自然科学基金(41972086)、博士后基金(2021M693191)、中央高校基本科研业务费(CUGL17043)等项目资助,近期发表在Geological Society of America Bulletin和Earth-Science Reviews等国际期刊上。
论文信息:
Fu, L.B.*, Bagas, L., Wei, J.H., Chen, Y., Chen, J.J., Zhao, X., Zhao, Z.X., Li, A.B., Zhang, W.K., 2022. Growth of early Paleozoic continental crust linked to the Proto-Tethys subduction and continental collision in the East Kunlun Orogen, northern Tibetan Plateau. Geological Society of America Bulletin, https://doi.org/10.1130/B36292.1.
Zhao, X., Fu, L.B.*, Santosh, M., Wei, J.H., Chen, J.J., 2022. The growth and evolution of continental crust contributed by multiple sources in the East Kunlun Orogen during Early Paleozoic.Earth-Science Reviews,233,104190.